Biofertilización inteligente en suelos mediterráneos: resiliencia y productividad con Bulhnova
Restaurar la biología del suelo y su equilibrio funcional es clave para construir un sistema agrícola resiliente y sostenible. En este contexto, el biofertilizante microbiano Bulhnova, desarrollado por Probelte, ofrece una vía práctica para activar un suelo vivo más eficiente en la nutrición vegetal y más resistente frente a desequilibrios edáficos.
Cultivos y suelos diversos, resultados consistentes
Para comprobar el rendimiento real de Bulhnova en campo, se aplicó en más de 20 fincas comerciales con condiciones muy diferentes: desde cítricos en suelos arenosos de la costa valenciana hasta trigo en parcelas arcillosas de Lleida, pasando por uva de mesa en zonas semiáridas del sureste. En todos los casos, el tratamiento consistió en combinar Bulhnova con una reducción del abonado mineral del 30 al 50 %, comparado con el manejo convencional habitual.
A pesar de la diversidad de cultivos y suelos, los resultados fueron consistentes: mejora en la nutrición de la planta, reducción de nitratos acumulados en el suelo y aumento de la fertilidad biológica. Esto se tradujo en plantas más equilibradas y productivas.
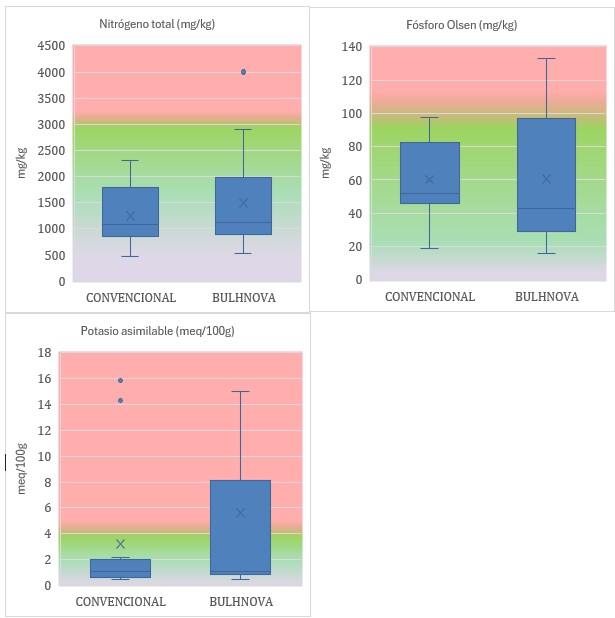
Concentración de nitratos en suelos (mg/kg) bajo manejo convencional (100 % fertilización mineral) y manejo con Bulhnova (con reducción del 30–50 % de fertilizante mineral).
Reducción de nitratos y mejora de la biodisponibilidad
Uno de los beneficios más notables del uso de Bulhnova ha sido la reducción significativa en la concentración de nitratos residuales en el suelo. Las parcelas tratadas mostraron una mediana de 60 mg/kg frente a los casi 90 mg/kg del manejo convencional, con valores más estables y menos dispersos. Esto no solo reduce el riesgo de lixiviación y contaminación de acuíferos, sino que se traduce en un uso más eficiente del nitrógeno.
Además, se observó un incremento en los niveles de nitrógeno total, fósforo y potasio disponibles y de forma asimilable para los cultivos. Poniendo de manifiesto del modo de acción sinérgico de las bacterias de Bulhnova, capaces de trabajar coordinadamente para poner a disposición del cultivo nutrientes esenciales bloqueados en el suelo.
Suelo más vivo, suelo más productivo
Más allá de los aspectos físico-químicos básicos el análisis enzimático del suelo, así como el biológico y metagenómico, evidenció un efecto positivo sobre la actividad de los microorganismos beneficiosos del suelo. Los resultados globales del estudio muestran un aumento de la actividad ureasa, fosfatasa, proteasa o β-glucosidasa) y un incremento en la diversidad microbiana. Por ejemplo, los índices de biodiversidad de Shannon y Berger-Parker confirmaron una mayor riqueza (más variedad de especies) y equilibrio (menos especies dominantes) en las comunidades bacterianas, indicadores clave de un ecosistema edáfico funcional y sostenible en el tiempo como puede observarse en la tabla que se observa a continuación.
Cítricos, uva de mesa, frutal o trigo
En cultivos tan distintos como cítricos, uva de mesa, frutal o trigo, se ha constatado la tendencia de que una mejora en la estructura y biología del suelo se traduce en cultivos más equilibrados con mayor vigor y productividad. El uso de Bulhnova, apoyado por prácticas complementarias como el uso de acondicionadores orgánicos y bioestimulantes, representa una biofertilización inteligente, capaz de adaptarse a suelos y cultivos diversos.
La experiencia acumulada en este estudio multizona muestra que es posible avanzar hacia una agricultura regenerativa y rentable, aprovechando el potencial de la microbiología aplicada para devolver al suelo su papel central como motor de la producción agrícola.






















