Trabajo galardonado con el primer premio en la 20ª Reunión Anual de la Red de Uso Eficiente del Nitrógeno en Agricultura (RUENA) 2025
¿Puede la agricultura de precisión y la teledetección mejorar la fertilización nitrogenada del arroz?
Karen Marti Jerez1, licenciada en Biotecnología, estudiante de doctorado en IRTA-Amposta
Núria Tomàs Navarro1, Ingeniera Agrónoma, técnica especialista en agronomía del cultivo del arroz en IRTA-Amposta
Eva Pla Mayor1, licenciada en Biotecnología, técnica especialista en agronomía del cultivo del arroz en IRTA-Amposta
Oriol Ferré Navarro1, técnico de gestión de recursos paisajísticos del medio ambiente, técnico de laboratorio y campo en IRTA-Amposta
Andrea Bertomeu Tomas1, licenciada en Bioquímica, técnico de laboratorio y campo en IRTA-Amposta
Maria del Mar Català Forner1, Investigadora especialista en arroz y responsable de las actividades en arroz desarrolladas en IRTA-Amposta
1Programa de Cultivos Extensivos Sostenibles, Centre d’ Amposta, Carretera de Balada, Km. 143870, Cataluña (España)
karen.marti@irta.cat; mar.catala@irta.cat
27/10/2025El arroz, alimento clave para más de la mitad de la población mundial, enfrenta retos en la eficiencia del uso de nitrógeno (NUE), especialmente con fertilizantes orgánicos de liberación incierta. Este estudio presenta un algoritmo de teledetección, desarrollado y validado en arrozales del Delta del Ebro, como herramienta práctica para optimizar la fertilización nitrogenada.
Integrando imágenes satelitales y datos agronómicos, el modelo generó mapas de prescripción que redujeron hasta un 40% el uso de fertilizantes y aumentaron un 28% la eficiencia del nitrógeno, sin comprometer el rendimiento. La herramienta demostró alta adaptabilidad y escalabilidad, destacándose como una solución práctica y sostenible para la agricultura de precisión.
Introducción
El futuro de la agricultura depende de estrategias que permitan producir más alimentos, utilizando los recursos de forma eficiente y reduciendo el impacto ambiental (Holden y col., 2018). Los sistemas arroceros intensivos dependen en gran medida del aporte de nitrógeno para alcanzar buenos rendimientos, representando cerca del 25% del consumo global de fertilizantes nitrogenados (Chauhan y col., 2017).
Sin embargo, el manejo tradicional bajo condiciones de inundación favorece grandes pérdidas de este nutriente por fenómenos como la desnitrificación, lixiviación o volatilización. Estas pérdidas se agravan con las aplicaciones fijas y generalizadas de fertilizante, que ignoran la variabilidad espacial y temporal en la demanda del cultivo (Cai y col., 2023). En este marco, el arroz se posiciona como un cultivo estratégico, especialmente en zonas como el Delta del Ebro (Cataluña), donde además de su valor alimentario, cumple funciones ecológicas y socioculturales relevantes (Canicio y col., 2008).
Además, ante la creciente presión por reducir el uso de fertilizantes de origen mineral, se ha intensificado el interés por adoptar fertilizantes orgánicos locales, que no solo mejoran la fertilidad del suelo, sino que también impulsan prácticas más sostenibles al fomentar la economía circular. No obstante, su adopción enfrenta retos técnicos por la liberación lenta e impredecible del nitrógeno (Peng y col., 2023), lo que genera incertidumbre entre los agricultores. Aquí entra la agricultura de precisión, que mediante herramientas como la teledetección y los algoritmos predictivos, permite ajustar las dosis de fertilizante según las necesidades reales del cultivo (Sapkota y col., 2014).
Aunque estos modelos han demostrado eficacia en diversos cultivos con fertilización mineral, su aplicación en sistemas orgánicos arroceros sigue siendo limitada (Raun y col., 2005; Lukina y col., 2001; Yang y col., 2022). Además, muchos dependen de sensores de campo poco prácticos para grandes superficies (Brinkhoff y col., 2021). En este contexto, las imágenes satelitales Sentinel-2, de libre acceso y alta resolución, ofrecen una alternativa escalable para monitorear el cultivo y generar recomendaciones ajustadas por zonas.
Este estudio tiene como objetivo desarrollar y validar un algoritmo de teledetección capaz de recomendar dosis óptimas de nitrógeno para arrozales manejados con fertilización mineral u orgánica. Este modelo debe ser capaz de generar mapas de prescripción específicos y escalables, optimizando el uso de insumos y avanzando hacia una agricultura más eficiente y sostenible.
Material y Métodos
Este estudio se llevó a cabo en el Delta del Ebro entre 2017 y 2023, combinando ensayos experimentales con pruebas en campos comerciales de arroz. Para el desarrollo de la tecnología de teledetección se utilizaron datos de campos manejados con diferentes fuentes de fertilización (urea, gallinaza y purín de cerdo), primero para la fase de calibración y posteriormente para la validación del sistema.
Ensayos experimentales
Se establecieron múltiples tratamientos con dosis de nitrógeno entre 0 y 300 kg N/ha. Estas se aplicaron en dos fracciones (abonado de fondo y primera cobertera, en dosis de 100, 140, 170, 200, 230, 260 y 300 kg N/ha) o en tres fracciones (fondo y dos coberteras, en dosis de 170, 200 y 230 kg N/ha). En las parcelas bajo fertilización mineral, el nitrógeno se aplicó en fondo mediante urea y se complementó con sulfato amónico en los estadios de 3-4 hojas (primera cobertera) y/o al inicio de la formación de panícula (segunda cobertera). En las parcelas bajo fertilización orgánica, la gallinaza se incorporó como abonado de fondo, mientras que el purín de cerdo se aplicó antes de la inundación, coincidiendo con el estadio de 3-4 hojas. Posteriormente, al inicio de la formación de panícula, se aplicó una cobertera adicional con sulfato amónico.
Las siembras se realizaron con la variedad JSendra, adaptada al manejo local: en lámina de agua en los sistemas con fertilización solo mineral y en seco en los sistemas con fertilización orgánica.
Recogida de datos
Durante todo el ciclo se recogieron datos agronómicos clave, como la densidad de plantas y panículas, altura, rendimiento y biomasa, que permitieron caracterizar el estado general del cultivo. Además, se midió de forma periódica el Índice de Vegetación de Diferencia Normalizada (NDVI), un parámetro que indica el vigor y la salud del cultivo, utilizando el sensor portátil GreenSeeker™ (Fotografía 1). Estos datos, combinados con información térmica (grados-día acumulados), sirvieron para diseñar el algoritmo de teledetección capaz de ajustar las dosis de fertilizante nitrogenado en función de las condiciones y necesidades reales del cultivo.
Validación de la tecnología de teledetección
En 2023, el algoritmo de teledetección desarrollado fue probado tanto en parcelas experimentales como en campos comerciales, bajo distintos esquemas de fertilización mineral y orgánica. La determinación de las dosis de nitrógeno recomendadas por el algoritmo de teledetección se realizó en la cobertera de inicio de panícula. La efectividad del algoritmo se evaluó mediante indicadores agronómicos, como rendimiento y eficiencia en el uso del nitrógeno, y se comparó con las estrategias convencionales de aplicación fija de fertilizantes.
Para evaluar su aplicabilidad en los campos comerciales, se integraron imágenes satelitales de alta resolución procedentes del satélite Sentinel-2 (ESA 2023). Estas permitieron aplicar la tecnología de teledetección a gran escala y generar mapas de fertilización específicos para cada parcela, ajustados a la variabilidad real del cultivo.
El tratamiento estadístico de los datos incluyó análisis de varianza (ANOVA), pruebas de comparación de medias (Tukey) y modelos de regresión, utilizando los softwares especializados JMP Pro 16 y R (SAS Institute Inc. 1989–2023, R Core Team 2023).
Resultados y discusión
Desarrollo del algoritmo de teledetección
El algoritmo de teledetección desarrollado demostró una buena capacidad para adaptar tanto el momento óptimo como la dosis adecuada de nitrógeno a aplicar según las necesidades reales del cultivo (Bashir y col., 2023). Gracias al análisis de imágenes satelitales Sentinel-2, fue posible observar diferencias claras en el vigor vegetal entre campos fertilizados con insumos orgánicos y minerales. Esta información permitió adaptar el algoritmo según el tipo de fertilización utilizado, mejorando así la toma de decisiones y favoreciendo una gestión más eficiente y personalizada del nitrógeno.
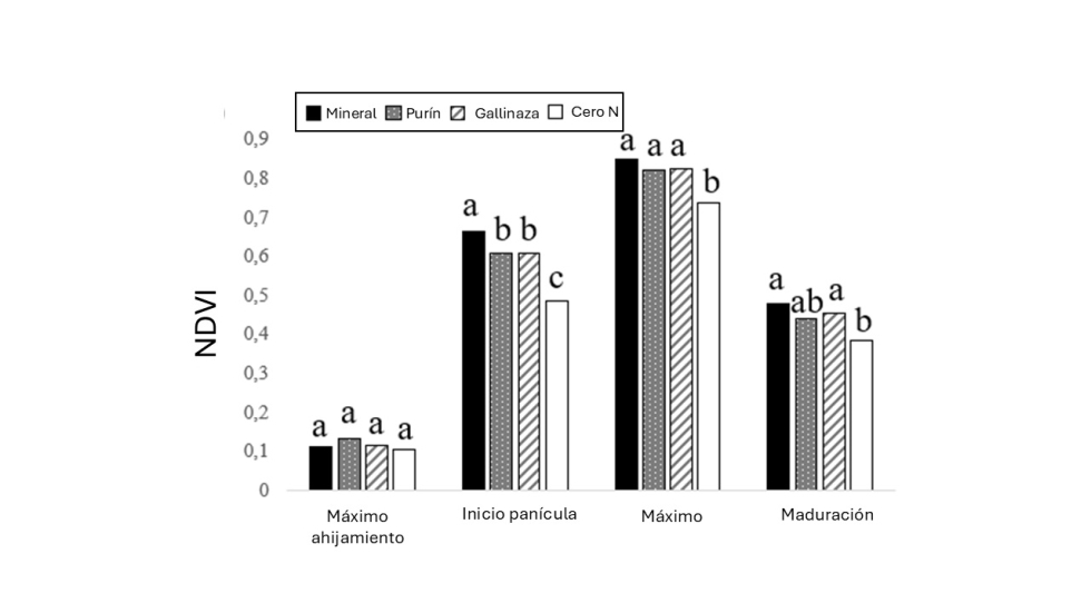
Los cultivos bajo fertilización mineral mostraron un crecimiento más homogéneo y continuo a lo largo del ciclo. En cambio, los campos manejados con fertilización orgánica, debido a la liberación más lenta y variable de nitrógeno (Marti-Jerez y col., 2023; Mondal y col., 2023), evidenciaron menor vigor en etapas iniciales, requiriendo aplicaciones de fertilizante más tempranas que los sistemas minerales. Tras una segunda aplicación de nitrógeno, los campos orgánicos lograron recuperar vigor, alcanzando rendimientos similares a los tratamientos convencionales (Gráfico 1). Esto pone de relieve que los abonos orgánicos pueden ser igual de efectivos, siempre que se manejen con precisión en momentos clave del ciclo.
En este contexto, la agricultura de precisión se vuelve una aliada estratégica: permite anticiparse a las necesidades del cultivo y ajustar las decisiones de fertilización en tiempo real, especialmente valioso en sistemas orgánicos donde la disponibilidad de nutrientes es más variable (Tang y col., 2023).
Eficiencia y escalabilidad del algoritmo de teledetección
La integración de imágenes satelitales Sentinel-2 fue clave para escalar el algoritmo de teledetección a parcelas de gran tamaño, permitiendo generar mapas de prescripción ajustados a la variabilidad interna de cada campo (Gráfico 2). Gracias a la implementación de esta herramienta para establecer los esquemas de fertilización nitrogenada, se logró una respuesta agronómica y unos rendimientos comparables a los máximos obtenidos bajo condiciones óptimas tanto en fertilización mineral como combinada orgánica y mineral (Tabla 1 y Gráfico 2), pero con una reducción de hasta un 40% en el uso de fertilizantes respecto a las dosis fijas y generalizadas aplicadas comúnmente.
Este ajuste personalizado incrementó en un 28% la eficiencia agronómica del nitrógeno, reflejando un mayor aprovechamiento del nutriente por parte del cultivo (Ali y col., 2015, Congreves y col., 2021). Los resultados evidencian que las prácticas tradicionales, basadas en dosis estándar, a menudo aplican fertilizantes en exceso (Xue y col., 2008), lo que implica un gasto innecesario y mayores riesgos de contaminación. En cambio, el uso del algoritmo de teledetección, al basarse en las necesidades reales del cultivo, permite aplicar el nitrógeno con precisión (solo donde y cuando se necesita) favoreciendo una gestión más eficiente, rentable y sostenible.
Tabla 1. Comparativa de estrategias de fertilización del ensayo con fertilizantes minerales: variables y eficiencia agronómica. Letras iguales o ausencia de letra indican que no hay diferencias significativas (Tukey, *p < 0,05, **p < 0,01, ***p < 0,001).
Conclusiones
Las tecnologías de teledetección se presentan como una herramienta eficaz y versátil para optimizar la fertilización nitrogenada en arrozales, tanto bajo manejo mineral como orgánico. A través de mapas de prescripción generados con imágenes satelitales, adaptados a la variabilidad del cultivo, este estudio logró reducir hasta un 40% el uso de fertilizantes en comparación con estrategias de fertilización comúnmente utilizadas, sin comprometer el rendimiento.
Además, se incrementó en un 28% la eficiencia agronómica del nitrógeno, generando beneficios económicos y ambientales frente a prácticas de dosis fija. Su eficacia en sistemas orgánicos, escalabilidad y promoción del uso racional de insumos lo posicionan como una solución práctica para la agricultura de precisión.
Agradecimientos
Este trabajo ha sido galardonado con el primer premio en la 20ª Reunión Anual de la Red de Uso Eficiente del Nitrógeno en Agricultura (RUENA) 2025. Este estudio fue financiado por el Departamento de Acción Climática, Alimentación y Agenda Rural de la Generalitat de Cataluña, así como por los proyectos TED2021-131606B-C21 y PLEC2021-007786 del Ministerio de Economía y Competitividad de España, y por el proyecto LEGENDARY a través del programa de investigación e innovación Horizonte 2020 de la Unión Europea.
Los autores agradecen la contribución del Programa CERCA (Generalitat de Catalunya), así como a los agricultores locales por su colaboración con el equipo de investigación y por sus valiosas contribuciones al proporcionar datos de campos comerciales. También expresan su agradecimiento al equipo técnico y de campo del grupo IRTA del arroz por su dedicación y valiosa contribución al desarrollo del estudio.






























