Este estudio proporciona información valiosa para la selección de genotipos de almendro para sistemas de cultivo de alta densidad en regiones con problemas de salinidad
Evaluación de la tolerancia a la salinidad en cuatro genotipos de almendro autoenraizados para plantaciones de alta densidad bajo diferentes niveles de salinidad
Xavier Rius-Garcia1,2, María Videgain-Marco1,3, José Casanova-Gascon1,3, Luis Acuña-Rello4, Raquel Zufiaurre-Galarza5 y Pablo Martín-Ramos4
1Departamento de Ciencias Agrarias y del Medio Natural, Escuela Politécnica Superior de Huesca, Universidad de Zaragoza, Ctra. Cuarte s/n, 22071 Huesca, Spain; xrius@agromillora.com (X.R.-G.); mvidegain@unizar.es (M.V.-M.); jcasan@unizar.es (J.C.-G.).
2Agromillora Group, Plaza Manel Raventós 3-5, St. Sadurni d’Anoia, 08770 Barcelona, Spain.
3Instituto Agroalimentario de Aragón (IA2, CITA–Universidad de Zaragoza), Ctra. Cuarte s/n, 22071 Huesca, Spain.
4Departamento de Ingeniería Agrícola y Forestal, ETSIIAA, Universidad de Valladolid, Avda. Madrid 44, 34004 Palencia, Spain; luis.acuna@uva.es (L.A.-R.); pmr@uva.es (P.M.-R.).
5Departamento de Química Analítica, Escuela Politécnica Superior de Huesca, Universidad de Zaragoza, Ctra. Cuarte s/n, 22071 Huesca, Spain; zufi@unizar.es.
16/05/2025El estudio evaluó cuatro genotipos de almendro autoenraizados (Vialfas, Guara, Penta y Avijor) bajo diferentes niveles de salinidad (0-75 mM NaCl). Los resultados mostraron respuestas diferenciales entre genotipos y los órganos de las plantas.
Introducción
El almendro (Prunus dulcis Mill. o Prunus amygdalus Batsch) representa un cultivo de importancia global con profundas raíces históricas en los países mediterráneos.
En las últimas décadas, el cultivo y la producción de almendras han aumentado constantemente, con una tasa de crecimiento de +196% (FAOSTAT, 2020). El mercado global de almendras se valoró en 7397,62 millones de dólares en 2022 y se proyecta que se expandirá a una tasa anual de crecimiento del 4,41%, alcanzando los 9583,6 millones de dólares para 2028.
El cultivo de almendros de secano en suelos marginales es común en países mediterráneos, donde estas explotaciones han tenido históricamente valor socioeconómico. En España, los almendros de secano comprendían aproximadamente el 67% del área total de cultivo de almendras en la campaña agrícola 2019-2020. Los sistemas de cultivo tradicionales de baja y media densidad eran predominantes. Estos sistemas presentan menos de 350 árboles por hectárea, marcos de plantación de 6 × 6 m a 8 × 8 m, sin mecanización ni riego, y el uso de plantas autorradicadas o portainjertos vigorosos. La productividad promedio de los almendros es significativamente mayor en el caso de cultivos con riego: 1600-1800 kg/ha frente a 400 kg/ha para cultivos de secano (Exposito y col., 2020).
Las nuevas plantaciones de almendros de alta densidad (SHD) con riego se inician en el 2010 y han revolucionado las prácticas de cultivo, tomando como base la experiencia de tres décadas de éxito con plantaciones de olivos en seto o alta densidad. Estos sistemas modernos han demostrado alta sostenibilidad agronómica, económica y ambiental (Pellegrini y col., 2016). Las plantaciones de almendros SHD utilizan portainjertos enanizantes y plantas 'Smarttree' autoenraizadas desarrolladas mediante el cultivo in vitro.
Los cultivares más habituales son Penta, Vialfas, Avijor y Guara. Los árboles se plantan en un marco de 4,0 × 1,5 m (1666 árboles por hectárea). La entrada en producción temprana (para el cuarto año) y la mecanización completa aumentan la rentabilidad y sostenibilidad al reducir insumos y costes. Desde 2022, se han plantado más de 6500 ha de almendros SHD a nivel global, con ejemplos en países como España, Portugal, Italia, EEUU, Marruecos, Túnez, Chile y Turquía. Debido a la reciente adopción de SHD, la investigación sobre este sistema está aún en una fase temprana de desarrollo. Los estudios se han centrado en la biometría de cultivares (Dias y col., 2018), el impacto de los marcos de plantación en el rendimiento y la intercepción de luz, y los efectos de la orientación de filas.
La implementación de los sistemas SHD se enfrenta a desafíos críticos debido a la escasez de tierras adecuadas con asignación completa de agua para el cultivo de almendros (5000-8000 m³/ha). Esto ha llevado a la adopción de plantaciones de almendros SHD basados en plantas autoenraizadas en áreas con riego suplementario mínimo (500-700 m³/ha). Este concepto ofrece una alternativa tanto a las plantaciones tradicionales como a los cultivos de cereales.
A esta problema se suma la mala calidad del agua en muchas áreas de cultivo, que conduce a la acumulación de sales y condiciones de estrés (Phogat y col., 2020). La lluvia por sí sola no puede lixiviar las sales acumuladas, lo que hace necesario el uso de cultivares tolerantes a la salinidad para garantizar la rentabilidad de la explotación. Desafortunadamente, la investigación sobre las características agronómicas de los cultivares de almendro autoenraizados sigue siendo limitada. Solo Casanova-Gascón y col. (2020) han investigado el rendimiento de estos cultivares bajo varias restricciones ambientales, incluyendo condiciones limitantes del suelo, revelando algunas diferencias en la adaptabilidad de los cultivares.
El objetivo de este estudio fue evaluar la tolerancia de cuatro cultivares autoenraizados (Vialfas, Guara, Penta y Avijor) al riego con agua salina. Para analizar esta respuesta se profundizó en aspectos morfológicos, fisiológicos y bioquímicos de los cuatro cultivares.
Metodología
Localización
El estudio sobre almendros se realizó en un invernadero de la Universidad de Zaragoza (Huesca, España). Se utilizaron árboles de 12 meses de los cuatro cultivares (Avijor, Guara, Penta y Vialfas) obtenidos de Agromillora Iberia y trasplantados a macetas con arena cuarcífera. Tras un período de crecimiento de 7 meses, los árboles fueron podados a 60 cm en febrero de 2023. El experimento comenzó el 1 de junio, cuando los nuevos brotes alcanzaron 50 cm, y duró 5 meses. Las condiciones ambientales controladas incluían temperaturas de 18-33°C y humedad relativa de 55-85%, con sistemas automáticos para regular temperatura (pantalla móvil a 27°C y ventilación por encima de 35°C). El diseño experimental consistió en un bloque completamente aleatorizado con 64 árboles en total, distribuidos en 4 niveles de salinidad y 4 cultivares diferentes, con 4 repeticiones por combinación de tratamiento.
Gestión del riego
Se utilizó una solución nutritiva Hoagland diluida (1/4 de concentración). Los árboles fueron expuestos a cuatro concentraciones diferentes de sal: 0, 25, 50 y 75 mM de NaCl durante los 5 meses del experimento. El pH del agua se mantuvo entre 7,2 y 7,4 en todos los tratamientos. El sistema de riego consistió en sesiones de 4 minutos, realizadas entre una y tres veces al día según las condiciones climáticas. Cada maceta contaba con dos goteros (caudal 1,3 L/h). La aplicación de las soluciones salinas se realizó mediante una bomba volumétrica, y un programador de riego Agronic 5500.
Análisis del material vegetal
Cada 15 días se midieron la longitud del brote, el diámetro del tronco a 10 cm y el daño visual de cuatro plantas por tratamiento. La necrosis foliar inducida por sal se evaluó visualmente en una escala de 0 a 5, según el porcentaje del área foliar total afectada (0: sin síntomas; 1: 20%; 2: 40%; 3: 60%; 4: 80%, 5: más del 80% del dosel de la planta). Al finalizar el experimento, se extrajeron cuatro plantas de cada tratamiento para cada cultivar del sustrato y se dividieron en varias partes (raíces, madera, brotes nuevos y hojas). Se registraron los pesos frescos de todas las partes de la planta, y luego se secaron a 70 °C durante 24 horas para determinar sus pesos secos.
Resultados
Parámetros de Crecimiento Bajo Estrés por Salinidad
Peso Fresco y Seco
La Figura 1 ilustra el patrón de distribución del peso fresco entre tratamientos y órganos: tallos > madera > raíces > hojas. Los efectos de la salinidad variaron según el órgano, con las hojas mostrando la mayor sensibilidad, particularmente en Avijor y Penta. Las raíces exhibieron respuestas diversas, mientras que los pesos de la madera permanecieron relativamente estables.
En cuanto al efecto de la dosis sobre el peso fresco, a 0 mM NaCl, todos los genotipos mostraron un fuerte crecimiento, con Vialfas presentando el mejor rendimiento (Figura 2). A 25 mM NaCl, Vialfas y Guara mantuvieron o aumentaron el peso fresco del tallo, mientras que Avijor y Penta mostraron disminuciones significativas. A 50 mM NaCl, Guara y Vialfas retuvieron pesos frescos de tallo relativamente altos, mientras que Avijor mostró disminuciones adicionales. A 75 mM NaCl, Avijor presentó una recuperación parcial en los pesos de raíz, madera y tallo en comparación con 50 mM NaCl.
Figura 1. Box-plot o diagrama de caja para el peso fresco en función de la interacción tratamiento × órgano, con valores agrupados de los cuatro genotipos para cada combinación de tratamiento-órgano. S1, S2, S3 y S4 representan las dosis de tratamiento de control (0), 25, 50 y 75 mM NaCl, respectivamente.
Figura 2. Box-plot o diagrama de caja para el peso fresco total de la planta en función de la interacción genotipo × tratamiento. S1, S2, S3 y S4 representan las dosis de tratamiento de control (0), 25, 50 y 75 mM NaCl, respectivamente.
El peso seco mostró un patrón similar de distribución entre órganos, con los tallos presentando los valores más elevados (11,67-19,32 g), seguidos por la madera y las raíces (10,12-11,54 g y 8,88-10,71 g, respectivamente), y las hojas (4,33-5,82 g) en todos los tratamientos (Figura 3). La respuesta de los órganos a la salinidad varió entre genotipos, con las hojas mostrando la mayor sensibilidad, particularmente en Avijor. Al examinar las respuestas generales de los genotipos a la salinidad, Vialfas y Guara demostraron mayor tolerancia en comparación con otros genotipos (Figura 4).
Vialfas manifestó el peso seco total más alto bajo condiciones de control (16,56 g) y mantuvo valores altos bajo salinidad moderada a 25 mM NaCl (15,79 g), aunque disminuyó a niveles de salinidad más altos (11,65 g a 50 mM y 9,00 g a 75 mM NaCl). Guara mantuvo valores de peso seco estables en todos los tratamientos (9,84-10,14 g) Avijor exhibió sensibilidad significativa a la salinidad moderada, con el peso seco total disminuyendo de 9,76 g en el control a 4,94 g a 25 mM NaCl, aunque reveló recuperación a 75 mM NaCl (10,04 g). Penta mostró sensibilidad intermedia, disminuyendo de 11,23 g en el control a 7,97 g para la salinidad más alta (Figura 4).
Figura 3. Box-plot o diagrama de caja para el peso seco en función de la interacción tratamiento × órgano, con valores agrupados de los cuatro genotipos para cada combinación de tratamiento-órgano. S1, S2, S3 y S4 representan las dosis de tratamiento de control (0), 25, 50 y 75 mM NaCl, respectivamente.
Figura 4. Box-plot o diagrama de caja para el peso seco total de la planta en función de la interacción genotipo × tratamiento. S1, S2, S3 y S4 representan las dosis de tratamiento de control (0), 25, 50 y 75 mM NaCl, respectivamente.
Diámetro del Tronco
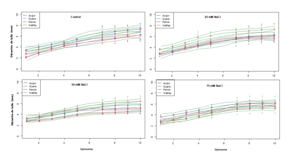
Bajo condiciones de control (Figura 5), Vialfas demostró el crecimiento más robusto (8 mm de diámetro final), seguido por Guara (7,5 mm), mientras que Avijor y Penta exhibieron patrones de crecimiento similares (7 mm y 6,5 mm, respectivamente). A 25 mM NaCl, Vialfas mantuvo un crecimiento superior, pero Guara disminuyó a 6 mm, y Avijor y Penta mostraron leves reducciones.
A 50 mM NaCl, el crecimiento del diámetro del tronco disminuyó en todos los genotipos, con Vialfas superando a los demás (7 mm), Guara y Penta mostraron un crecimiento similar (6 mm), y Avijor mostró la reducción más significativa (5 mm). A 75 mM NaCl, Guara presentó el mejor rendimiento (6,5 mm); Penta y Avijor mostraron patrones de crecimiento similares (6 mm); mientras que Vialfas, que había sobresalido a salinidad más baja, mostró el rendimiento menor (5,5 mm).
Figura 5. Evolución del diámetro del tronco para los cuatro genotipos de Prunus en función de la salinidad: (a) control, (b) 25 mM NaCl, (c) 50 mM NaCl y (d) 75 mM NaCl. Para cada genotipo, la línea central representa la curva spline ajustada, mientras que las líneas punteadas por encima y por debajo representan los intervalos de confianza del 95%.
Longitud del Brote
Bajo condiciones de control (Figura 6), Vialfas indicó el crecimiento más vigoroso (altura final de 160 cm), seguido por Avijor y Guara (140 cm y 135 cm, respectivamente), y Penta (120 cm). A 25 mM NaCl, Vialfas mantuvo un crecimiento superior, con Avijor casi igualando a Vialfas al final del período, y Guara y Penta mostrando tasas de crecimiento más lentas. A 50 mM NaCl, el crecimiento se redujo significativamente en todos los genotipos, con diferencias genotípicas disminuidas bajo mayor estrés. A 75 mM NaCl, el crecimiento se vio severamente reducido para todos los cultivares, con Penta presentando un rendimiento relativamente mejor bajo estrés extremo y Avijor mostrando el crecimiento más reducido.
Figura 6. Evolución de la longitud del brote para los cuatro genotipos de Prunus en función de la salinidad: (a) control, (b) 25 mM NaCl, (c) 50 mM NaCl y (d) 75 mM NaCl. Para cada genotipo, la línea central representa la curva spline ajustada, mientras que las líneas punteadas por encima y por debajo representan los intervalos de confianza del 95%.
Síntomas Visuales de Estrés por Salinidad
Todos los genotipos mostraron un crecimiento robusto bajo condiciones no salinas, caracterizado por abundantes hojas verde oscuro distribuidas uniformemente a lo largo del tallo, sistemas radiculares bien desarrollados y una buena estructura general de planta (Figura 7). A 25 mM NaCl, los síntomas de estrés surgieron a través de ligeras reducciones en la densidad foliar, el tamaño y el volumen del sistema radicular. A 50 mM NaCl, aparecieron síntomas de estrés moderados a severos, incluyendo una reducción notable en el número de hojas con clorosis y necrosis en los márgenes foliares, tallos más delgados y cortos, con reducción del volumen y ramificación del sistema radicular. A 75 mM NaCl, todos los genotipos mostraron síntomas severos de estrés, con una importante reducción en el número de hojas y extensa clorosis y necrosis en las hojas restantes, tallos notablemente más delgados y cortos, y sistemas radiculares severamente impactados mostrando un desarrollo y ramificación mínimos.
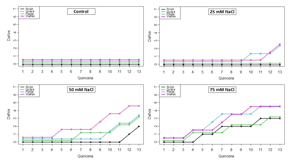
Respecto al daño foliar, como se muestra en la escala de 0-5 en la Figura 8a, Avijor y Guara demostraron una notable resiliencia a 25 mM NaCl (Figura 8c), sin mostrar daño medible, mientras que Penta y Vialfas exhibieron ligera susceptibilidad, con valores de daño integrado a lo largo del tiempo de 5,49 y 3,30, respectivamente. A 50 mM NaCl (Figura 8d), Vialfas mostró el daño acumulado más alto (21,98), seguido por Guara (12,09) y Penta (8,79), mientras que Avijor mantuvo niveles de daño relativamente bajos (3,30). Bajo 75 mM NaCl (Figura 8e), Penta exhibió el daño integrado más alto (30,77), seguido por Vialfas (29,67), mientras que Avijor (20,88) y Guara (19,78) mostraron una resiliencia comparativamente mejor.
Figura 8. (a) Escala de nivel de daño foliar, (b–e) evolución del daño foliar para cada uno de los cuatro genotipos de Prunus en función de la salinidad: (b) control, (c) 25 mM NaCl, (d) 50 mM NaCl y (e) 75 mM NaCl. Los valores en el eje Y representan niveles de daño instantáneos en la escala de 0–5, mientras que los valores integrados discutidos en el texto representan el área bajo estas curvas de progresión del daño a lo largo del tiempo. Las curvas de daño se han desplazado verticalmente para evitar superposiciones, conservando sus patrones y valores reales.
Discusión
Todos los genotipos exhibieron reducciones progresivas en la altura de la planta, número de hojas, estado foliar y desarrollo radicular a medida que aumentaba la salinidad, ilustrando los efectos negativos acumulativos del estrés salino en el crecimiento y desarrollo de la planta. Este patrón de respuesta es consistente con Dejampour y col. (2012) en su estudio sobre portainjertos de melocotonero.
Las diferencias observadas en la tolerancia a la sal entre los genotipos estudiados corroboran hallazgos de otros estudios de Prunus. Por ejemplo, Zrig y col. (2015) reportaron una variabilidad significativa en la tolerancia a la salinidad entre portainjertos de almendro, con algunos genotipos manteniendo parámetros de crecimiento y fisiológicos superiores bajo condiciones salinas. De manera similar, Rahneshan y col. (2018) observaron respuestas diferenciales al estrés salino entre genotipos de pistacho, destacando la base genética de la tolerancia a la sal en otras especies perennes leñosas más allá de Prunus.
El rendimiento superior de Guara y Penta bajo niveles moderados de salinidad (25-50 mM NaCl) sugiere la presencia de mecanismos efectivos de tolerancia a la sal en estos genotipos. Esto se alinea con los hallazgos de Momenpour e Imani (2019), quienes identificaron variabilidad en la tolerancia a la sal entre cultivares de almendro (Rabie, Perless, Super Nova, D99, 1-16 y 8-24), con D99 manteniendo mayor crecimiento y homeostasis iónica bajo condiciones salinas. Los mecanismos subyacentes a esta tolerancia mejorada podrían involucrar una exclusión de Na+ más eficiente, una selectividad K+/Na+ mejorada, o una compartimentación iónica aumentada.
La identificación de un umbral crítico de salinidad alrededor de 50 mM NaCl, donde los síntomas de estrés se volvieron más severos, es consistente con observaciones en otros estudios de Prunus.
El impacto severo a 75 mM NaCl, particularmente evidente en Avijor, sugiere que esta concentración excede el umbral de tolerancia de estos genotipos de Prunus. Este resultado es consistente con la investigación de Toro y col. (2021) sobre estrés salino en portainjertos de Prunus, que mostró que Mariana 2624 y Garnem son más resistentes que Mazzard F12/1 y Cab6P a 120 mM NaCl. Esta sensibilidad en las hojas probablemente refleja la acumulación de iones tóxicos en tejidos fotosintéticos; altas concentraciones tanto de Na+ como de Cl- en tejidos foliares pueden reducir la capacidad fotosintética. La degradación de clorofila, específicamente vinculada a una alta acumulación de Cl-, fue descrita por Tavakkoli y col. (2010).
El deterioro del sistema radicular con el aumento de la salinidad fue notable en todos los genotipos, especialmente en Avijor, e impactó directamente la absorción de agua y nutrientes. Esta observación es consistente con los hallazgos de Sandhu y col. (2020), quienes reportaron tasas de supervivencia y biomasa radicular significativamente reducidas en portainjertos de Prunus estresados por sal; el tratamiento con mayor concentración de NaCl (120 mM NaCl) causó las reducciones más severas en el crecimiento radicular.
El mantenimiento de un mejor desarrollo radicular en Guara y Penta bajo salinidad moderada sugiere mecanismos de tolerancia a la sal basados en raíces más efectivos, posiblemente involucrando estrategias mejoradas de exclusión o secuestro de iones.
Las respuestas diferenciales observadas en hojas, tallos y raíces proporcionan información sobre adaptaciones específicas de órganos al estrés salino. La alta sensibilidad de las hojas al estrés salino, evidenciada por clorosis progresiva y necrosis, destaca que estos síntomas son típicamente causados por un contenido excesivo de Cl- en las hojas, mientras que el Na+ tiende a acumularse en raíces, tronco y ramas, alineándose con las observaciones de Zrig y col. (2014) en cultivares de almendro (Garnem y Bitter Almond).
Conclusiones
El estudio de cuatro genotipos de almendro autorradicados (Vialfas, Guara, Penta y Avijor) reveló que todos presentan un umbral crítico de tolerancia a salinidad entre 50-75 mM NaCl, con deterioro significativo en crecimiento y funciones fisiológicas superado este nivel. Guara y Penta destacaron por su mejor desempeño global en condiciones salinas, mostrando mecanismos eficaces de adaptación que los posicionan como material valioso para programas de mejora en regiones afectadas por salinización.
Bibliografía: consultar [Agriculture 2025, 15(3), 254; https://doi.org/10.3390/agriculture15030254].



























