Ventajas de la instalación de correas para ascensores: innovación y eficiencia
En el panorama tecnológico actual de los ascensores de tracción, la eficiencia energética, la compacidad y la optimización del espacio representan un desafío constante para diseñadores y fabricantes. Entre las soluciones más innovadoras, se encuentran los sistemas de suspensión de correa, que permiten el uso de poleas excepcionalmente pequeñas, a partir de 75 mm de diámetro. Desde Montanari Group analizan en detalle los beneficios derivados de la adopción de esta tecnología, comparándola con los sistemas tradicionales y evaluando sus impactos tangibles en términos de ahorro de energía, reducción de costos, mantenimiento y gestión del espacio.
Importancia de las poleas de diámetro pequeño
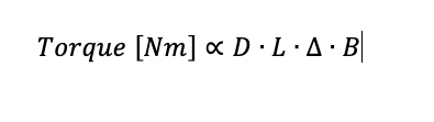
En primer lugar, la dimensión de una máquina gearless está fuertemente afectada por el par. El par es el parámetro principal para identificar el tamaño de la gearless. Cuanto mayor es el par, más grande y pesada será la máquina.
Donde D y L son el diámetro externo y la longitud del rotor (al final el tamaño), mientras que ∆∙B las densidades de corriente y flujo dependen principalmente del grado de los materiales utilizados (bobinado, imanes, estator).
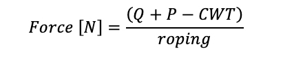
Veamos qué factores determinan el par en un ascensor:
donde (omitiendo el peso de los cables y las fricciones)
Por lo tanto, la fuerza depende solo de los parámetros de instalación como carga (Q), peso de la cabina (P), contrapeso (CWT) y cables.
Según lo indicado claramente por la relación entre el par y el diámetro de la polea, el tamaño de la polea afecta directamente el par requerido para mover la cabina del ascensor. La fórmula Torque = Fuerza × R polea demuestra claramente cómo un diámetro de polea más pequeño reduce el par requerido. En consecuencia, la capacidad de poder adoptar poleas pequeñas (hasta 75 mm), posible gracias al sistema de suspensión de correa, ofrece importantes ventajas de diseño. Esto permite reducir los requisitos de par y, en consecuencia, el uso de motores gearless más pequeños, ligeros y compactos.
Otra consecuencia importante un el uso de una polea más pequeña es que aumenta la velocidad de rotación (RPM).
Generalmente, un aumento en las RPM conduce a una mayor eficiencia de la gearless, reduciendo el consumo total de energía.
Mejora de la eficiencia energética
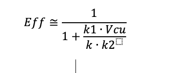
La velocidad de rotación (rpm) de la polea afecta significativamente la eficiencia del motor sin engranajes. Un diámetro de polea más pequeño da como resultado velocidades de rotación más altas para una velocidad de cabina determinada, mejorando así la eficiencia general de la máquina, veamos por qué:
Dónde:
Eff: eficiencia del motor
Pm: Potencia del motor -> rpmk∙Torque∙
Pjoule: Pérdidas de joules motores
Piron: Motor Pérdidas de hierro
Pfriction: Fricciones del motor
Considerando las rpm inferiores a 800 rpm, Piron y P friction son muy bajas en comparación con Pjoule, por lo que podemos descuidar estos términos.
Considerando 2 motores diferentes que tienen un par nominal diferente (y, por lo tanto, un tamaño diferente) pero la misma densidad de corriente y densidad de flujo (lo que significa la misma tecnología y la misma explotación de materiales), las pérdidas de Joule dependen directamente del volumen de cobre.
Si comparamos dos elevadores idénticos donde la única diferencia es el diámetro de la polea de tracción, podemos escribir una relación entre Torque y rpm:
Por lo tanto:
Dado que las máquinas sin engranajes con menor par tendrán un menor volumen de cobre, la eficiencia de la fórmula anterior será mayor. Aquí una curva de eficiencia típica.
A continuación, se muestra un ejemplo real de dos casos en los que el mismo ascensor es accionado por dos motores sin engranajes que tienen poleas de tracción de diferentes diámetros: 320 mm con cables tradicionales y 100 mm con correas.
De la tabla anterior se pueden deducir varios aspectos:
1. El par del motor sin engranajes accionado por correa es menor y, de hecho, el peso de este motor sin engranajes es casi la mitad en comparación con el de la polea de 320 mm.
2. La eficiencia del motor sin engranajes accionado por correa es significativamente mayor que la del motor sin engranajes de polea de 320 mm.
3. Las potencias de los dos motores sin engranajes son exactamente las mismas, lo que demuestra que el par, no la potencia, es el parámetro más importante que identifica a un motor eléctrico.
Reducción de peso y costes
El uso de poleas de menor diámetro da como resultado una reducción significativa del par, esto permite el uso de máquinas de tracción más ligeras y económicas. El ejemplo práctico anterior demuestra cómo con una polea más pequeña se puede reducir el par requerido que conduce a reducciones sustanciales tanto en el peso como en el costo de la máquina sin engranajes.
Ventajas en aplicaciones específicas
En aplicaciones MRL e instalaciones de modernización, donde las restricciones estructurales son más estrictas, la tecnología de correas proporciona beneficios sustanciales. El tamaño reducido de la maquinaria y la optimización del espacio libre ofrecen una mayor flexibilidad de diseño, lo que facilita la integración en los edificios existentes sin la necesidad de costosas modificaciones estructurales.
Impacto en la comodidad de conducción
Los sistemas accionados por correas reducen significativamente el ruido y la vibración, mejorando el confort de los pasajeros. Este aspecto es especialmente valorado en edificios residenciales, hoteles y hospitales, donde la ausencia de ruido es un factor crítico para evaluar la calidad de los ascensores.
Flexibilidad en la modernización
Una de las ventajas más significativas de los sistemas de correas es su excepcional coeficiente de fricción: 2-3 veces mayor que el de los cables de acero convencionales. Esta característica cambia fundamentalmente la ecuación para los cálculos de tracción y abre nuevas posibilidades de diseño.
Con los cables de acero tradicionales, lograr una tracción adecuada generalmente requiere ángulos de arrollamiento entre 150° y 180°. El coeficiente de fricción superior de las correas permite ángulos de arrollamiento significativamente reducidos (tan bajos como 90° en algunas configuraciones). Esta solución permite la creación de un enfoque de modernización altamente flexible capaz de abordar una amplia gama de situaciones diferentes.
Conclusión
La introducción de sistemas de instalación de correas representa una innovación significativa en la industria de los ascensores, capaz de garantizar no solo ahorros de energía y costos, sino también un mayor confort para los pasajeros. La capacidad de adoptar poleas extremadamente pequeñas constituye una clara ventaja competitiva, allanando el camino para soluciones innovadoras adaptadas a todas las necesidades actuales y futuras del mercado.




























