Las nuevas fichas CAE dan el impulso al ahorro energético en UTAs con ventiladores EC
Ziehl-Abegg lidera, junto a AFEC y otros expertos fabricantes, el desarrollo de una herramienta clave para renovar energéticamente el parque de Unidades de Tratamiento de Aire (UTAs) en España. Un proyecto alineado con nuestra visión: ser pioneros en el desarrollo de soluciones sostenibles, seguras y eficaces para la ventilación y sistemas de control.
Desde hace más de 120 años, Ziehl-Abegg asumió los retos energéticos de la sociedad construyendo equipos fiables que miran al futuro. Un futuro que ahora nos habla de ahorro y eficiencia energética, donde somos un referente mundial con ADN propio en el desarrollo de tecnología.
Un equipo humano de más de 5.000 trabajadores, 15 centros de producción y 119 delegaciones en todo el mundo son la mejor carta de presentación del líder mundial para los sectores de ventilación, aire acondicionado y refrigeración, control de instalaciones energéticas, eficiencia energética, así como regulación y control y accionamientos de sistemas de elevación.
En un momento donde el ahorro energético y la descarbonización son prioritarios, el sector HVAC tiene un papel esencial. Ziehl-Abegg identificó una oportunidad: incluir la sustitución de ventiladores antiguos por tecnología EC dentro de los Certificados de Ahorro Energético (CAE).
Esta iniciativa, coordinada con AFEC, ha permitido crear nuevas fichas CAE específicas para esta intervención, facilitando el acceso a incentivos económicos por actuaciones de eficiencia.
El desarrollo de las nuevas herramientas que facilitan la renovación de UTAs y la consecución de los Certificados de Ahorro Energético representan un paso más en nuestra misión: ayudar a nuestros clientes a lograr resultados duraderos, fiables, que afrontan los desafíos y exigencias de los edificios modernos y las industrias de vanguardia.
Con las nuevas fichas CAE, ZIEHL-ABEGG pasa del proyecto a la acción, al impacto en resultados y a la operatividad, fiabilidad y eficiencia incuestionables con un soporte técnico que garantiza la máxima operatividad de las UTAs y la obtención del beneficio económico para el cliente final.
Nueva sede Ziehl-Abegg Ibérica.
¿Qué son las fichas CAEs?
Son documentos técnicos validados por la administración que permiten certificar y monetizar el ahorro energético tras una mejora. Esta ficha se enfoca especialmente en los sectores industrial y terciario, donde existen miles de UTAs con ventiladores poco eficientes y sin regulación.
Sencillez y aplicabilidad: clave para el instalador
Desde el principio, el objetivo ha sido claro: crear una ficha sencilla y práctica. Muchas instalaciones no disponen de datos técnicos precisos, por lo que se han incluido fórmulas simplificadas basadas en cinco datos básicos:
- Horas anuales de funcionamiento.
- Potencia del ventilador antiguo.
- Eficiencia del ventilador existente.
- Eficiencia del nuevo ventilador EC (ηF, sys).
- Factor de corrección por control adicional.
Cuando no se dispone de alguno de estos datos, la ficha incorpora valores tabulados según normativa, permitiendo avanzar sin bloquear el proceso.
¿Qué beneficios ofrece al instalador?
- Acceso sencillo a CAEs sin grandes barreras técnicas.
- Herramienta eficaz para justificar renovaciones y simular retorno de inversión.
- Posibilidad de monetizar el ahorro energético a través de la venta de CAEs.
Apoyo integral al profesional
ZIEHL-ABEGG acompaña esta iniciativa con formación práctica para instaladores y mantenedores. Además, colaboramos con sujetos delegados que gestionan los trámites administrativos, facilitando una solución llave en mano.
Soporte técnico y disponibilidad inmediata
Contamos con un equipo técnico especializado y stock permanente para garantizar una implementación ágil de las actuaciones, clave para el éxito del retrofit.
Una herramienta transformadora
La nueva ficha CAE representa un impulso real hacia la eficiencia energética en UTAs. Su simplicidad, aplicabilidad y alto impacto la convierten en una solución práctica para avanzar hacia un modelo energético más sostenible. Desde ZIEHL-ABEGG seguiremos liderando iniciativas que ayuden al sector a evolucionar.
Caso Práctico – Comparativa de CAE
- Datos de la instalación:
- Ventilador actual: 7,5 kW.
- Tipo: Se compararán dos versiones:
o Álabes inclinados hacia atrás
o Álabes inclinados hacia adelante (menos eficientes)
- Año de fabricación de la UTAs: 2005 (usaremos tabla para ese año)
Edificio Zona climática ≠ E1 Horas/año
Hospital L-D, 24h/día 8.760
Oficinas L-V, 12h/día 3.132
- CTRL (factor control): 1 (sin regulación variable adicional).
- Ventilador nuevo: ZIEHL-ABEGG 116909/A01 GR56I-ZID.GQ.CR
- Eficiencia total η venti = 0,657 para este punto de trabajo.
Paso 1: Determinar eficiencia del ventilador antiguo
a) Álabes hacia atrás
Año 2005 → corresponde a FMEG55.
Para 7,5 kW tomamos el valor más próximo (8 kW).
→ η ref = 54% = 0.54.
b) Álabes hacia adelante
Mismo año → corresponde a FMEG35.
Para 7,5 kW → usamos 8 kW.
→ η ref = 34.4% = 0.344.
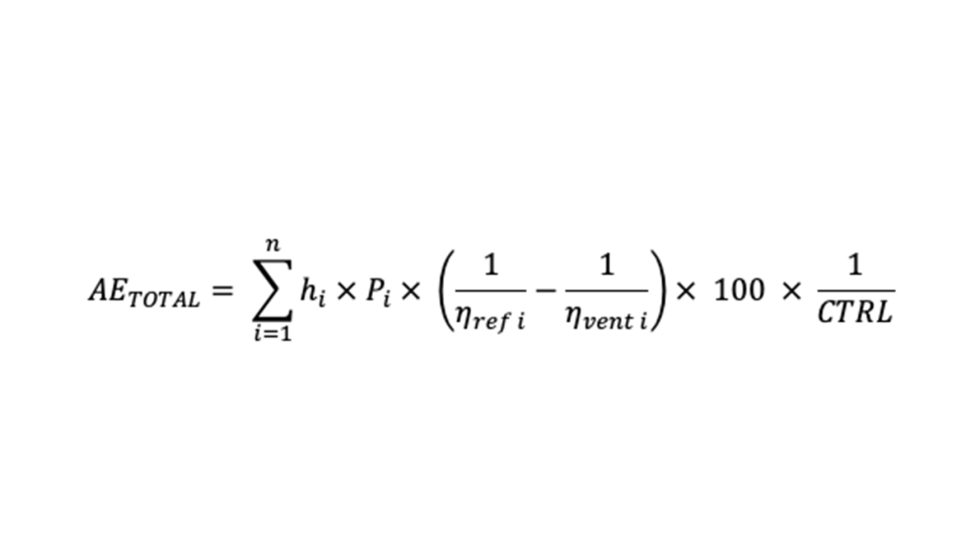
Paso 2: Aplicar fórmula de la ficha CAE
Monetización estimada (ejemplo a 1 CAE (1000kw/h a 100€)
El tipo de ventilador y el año de fabricación influyen radicalmente en el ahorro energético certificable. Si se tratara de un edificio como un hospital o un centro de datos (8760 h), los valores se multiplicarían por 2,8.
Valor estimado en la factura de electricidad
Monetización estimada de ahorro de energía al año (estimación kw/h → 0,16€)













































